收藏本站
首页
开云中国认证官方网站.com
公司简介
公司规模
公司荣誉
KAIYUN
新闻动态
企业资讯
行业报道
医药知识
商务招商
开云中国认证官方网站.com
人才招聘
会员中心
新闻动态
企业资讯
行业报道
医药知识
当前位置:
首页
>
企业资讯
>
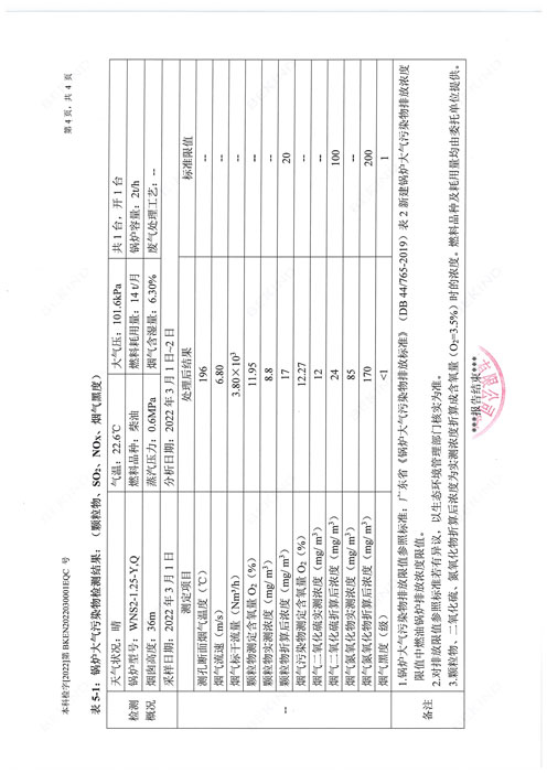
2022年3月废气检测
2022年3月废气检测
发布时间:2022-04-29 10:33:53 点击数:
上一篇:
2022年2月废气检测
下一篇:
2022年3月废水检测
官方微信扫一扫
九游体育
|
万象城
|
乐投在线(中国)唯一官方网站
|
万象城网页版
|
AG·电子(中国大陆)官方网站
|
乐鱼注册
|
半岛线上官网(中国)官方网站
|
雷火平台
|
乐投平台
|